Lead Compensation

The questions below are due on Friday April 03, 2026; 10:00:00 AM.
 
You are not logged in.

Please Log In for full access to the web site.
Note that this link will take you to an external site (https://shimmer.mit.edu) to authenticate, and then you will be redirected back to this page.
You are viewing the PRELIMINARY 6.3100 Spring 2026 web site. Please note that information on this page may change throughout the semester, please check back frequently.

A useful python script for Phase Margin Design.

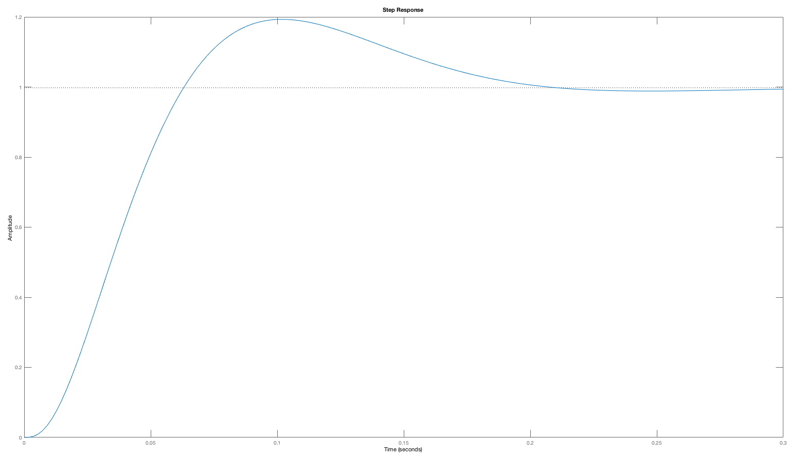
If you load and run the python script ctPhaseDesign.py you should see a Bode plot and step response, as shown below.

Note that there are three frequency responses plotted on the Bode plot, one associated with the controller transfer function, K(s), one associated with the plant transfer function, H(s), and one associated with the product K(s)H(s). The Bode plot also indicates the phase margin at the unity gain frequency for the K(s)H(s) transfer function.

We strongly recommend adhering to this template when investigating using phase margin to design controllers, seeing all three plots makes it easier to center the controller's "phase bump".

The step response for the closed-loop system, whose transfer function is

G(s) = \frac{K(s)H(s)}{1 + K(s)H(s)},
is also plotted.

The ctPhaseDesign.py is easy to read and gives examples for using many of the computational tools that will help you with the rest of this prelab.

Compensator Design Using Frequency Response.

What follows is a very brief discussion of lead compensators, with some short questions interspersed. We are trying to convey a sense of "why is this useful" and the "how to design with it", and not focus on formal guarantees. In a few weeks, we will switch to state-space, a better setting in which to be formal.

Notation and Reminders

We have usually divided the forward path of our archetype feedback system into the controller (what we design), with transfer function K(s) , and the "plant" (what we are controlling), with transfer function H(s). We will deviate slightly from the K(s) and H(s) notation, and further divide the controller into the product of a constant gain K_0, and a normalized compensator transfer function, H_c(s). In this way, candidate compensators can be more easily compared. A good compensator is not the one with the highest innate gain, but the one that, after optimizing over K_0, yields a feedback system with the smallest tracking errors and highest disturbance rejection.

More specifically, suppose we are given the above open-loop system,

Y(s) = K_0 H_c(s) H(s) X(s).

Then suppose we "close the loop" around the system, as below

where we can use what should be the comfortably-familiar Black's formula to derive

Y(s) = \frac{K_0 H_c(s) H(s) }{1 + K_0 H_c(s) H(s)} X(s).

When we are referring to the closed-loop transfer function, we will denote it as G(s), where G(s) is given

G(s) = \frac{K_0 H_c(s) H(s) }{1 + K_0 H_c(s) H(s)}.

From what we have already learned about transfer functions, we know that the pair

x(t) = e^{j\omega t} \;\;\; y_{closed-loop}(t) = G(j\omega) e^{j\omega t}.
will satisfy the differential equation system implied by the closed-loop transfer function G(s), and the pair
x(t) = e^{j\omega t} \;\;\; y_{open-loop}(t) = K_0 H_c(j\omega) H(j\omega) e^{j\omega t},
will satisfy the differential equation system implied by K_0 H_c(s)H(s). We refer to the magnitude and angle of G(j\omega) as function of \omega as the closed-loop frequency response and the magnitude and angle of K_0 H_c(j\omega) H(j\omega) as a function of \omega as the open-loop frequency response. If a system is stable, we can measure the frequency response by applying unit amplitude sinusoids, waiting until the output achieves sinusoidal steady state, and measuring the amplitude and phase shift of the output. Even if a system is not stable, the above construction can be evaluated mathematically, but not measured practically.

Phase Margin

What happens if the denominator in the expression for the closed-loop frequency response,

G(j \omega ) = \frac{K_0 H_c(j \omega) H(j \omega) }{1 + K_0 H_c(j \omega ) H(j \omega)},
is zero? That is, one might be concerned about the possibility that
1 + K_0 H_c(j \omega ) H(j \omega) = 0
for some \omega = \omega_0. Should that be the case, then G(j \omega_0 ) = \infty . And since G describes a tracking feedback system, an important design objective is for G(j \omega ) = 1 for all \omega (or for as wide a range of frequencies as possible). Unfortunately, \infty is infinity far from that objective.

In fact, K_0 H_c(j \omega_0 ) H(j \omega_0) need only be close to -1 to cause problems, and the closer it is to -1, the further G(j\omega_0) will be from unity. One can make a more formal link to closed-loop stability, but for now, it is sufficient to note that IT IS BAD FOR

K_0 H_c(j \omega_0 ) H(j \omega_0) \text{ to be near } -1
for any \omega_0, and WE SHOULD DESIGN OUR COMPENSATORS SO THAT -1 IS AVOIDED.

For K_0 H_c(j \omega_0 ) H(j \omega_0) to equal -1, an angle and a magnitude condition must each be satisfied:

  • Magnitude condition: |K_0 H_c(j \omega_0 ) H(j \omega_0)| must be equal to 1.

  • Angle or Phase Condition: \angle \left( K_0 H_c(j \omega_0 ) H(j \omega_0) \right) must equal - \pi radians or - 180 degrees.

In defining the above angle or phase condition, there is a 2 \pi radian or 360 degree indeterminacy. That is, we could have used \pi radians or 180 degrees, or 3\pi radians or 540 degrees, or for any integer k, 2\pi k - \pi radians or 360k - 180 degrees. For transfer functions and controllers we use in 6.3100, a convenient choice of interval for angles or phases is [-\frac{3\pi}{2}, \frac{\pi}{2}] radians or the interval [-270,90] degrees.

Since being exactly equal to -1 is unlikely, but being near is also bad, we need to define metrics for how close we are to the dreaded -1. To that end, there are two terms commonly used to describe the closeness:

  • Unity gain frequency ( \omega_{unity}): the value of \omega such that |K_0 H_c(j \omega_{unity} ) H(j \omega_{unity})| = 1 . It is possible to have multiple unity gain frequencies, though it is uncommon.

  • Phase Margin : Assuming the interval [-270,90] degrees for angles, we define the phase margin of \angle \left(K_0 H_c(j \omega_{unity} ) H(j \omega_{unity})\right) to be

    180 + \angle\left(K_0 H_c(j \omega_{unity}) H(j \omega_{unity})\right.

Based on the definition and our choice of phase interval, phase margins can vary from -90 to 270 degrees, but as we will see in the problems below, the phase margins of interest are in the range [0,90]. If the phase margin decreases from 90 degrees to zero,

|1 + K_0 H_c(j \omega_{unity} ) H(j \omega_{unity})| \rightarrow 0
and
| G(j \omega_{unity})| \rightarrow \infty.

As a final note, if your phase margin is negative, your system is probably unstable.

A Three Pole Example

Consider the three-pole example

H(s) = \frac{1000}{(s+1)(s+10)(s+100)}
with a null compensator. That is,
H_c(s) = 1.
Since H(0) = 1, the plant is normalized, and any gain will come from K_0 > 1 in

K_0 H_c(j \omega ) H(j \omega)) = K_0 \frac{1000}{(s+1)(s+10)(s+100)}
.

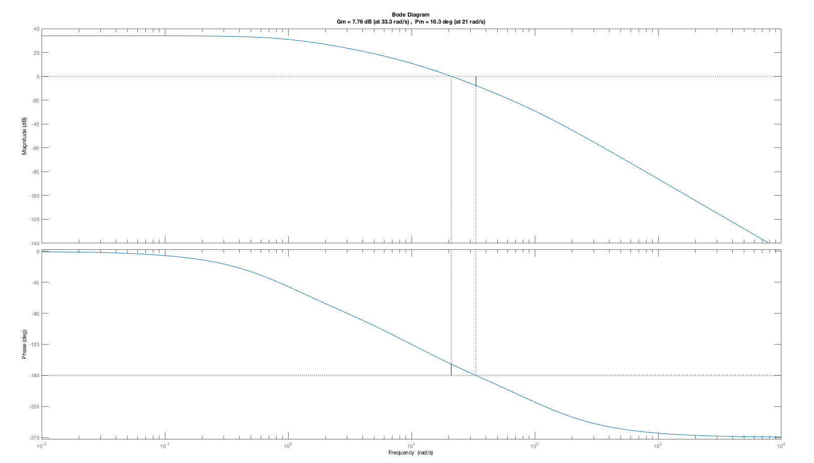
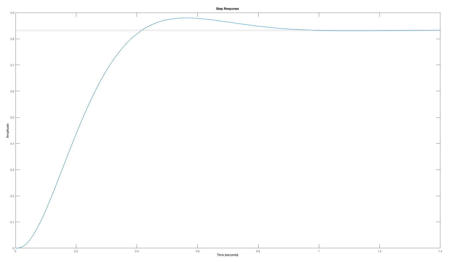
Consider the open-loop margin plot and the closed-loop step response for the cases K_0 = 5, 20, \; and \; 50 below. As is clear from the plots, the phase margin decreases with higher and higher gains (values of K_0), and the step response becomes more oscillatory. The low phase margin was a correct indication of a problem, as the oscillation in the step response at K_0=50 is certainly a problem.

Bode Plot For K_0=5 showing gain and phase margins.
Closed-Loop step response for the K_0=5 case.
Bode Plot For K_0=20 showing gain and phase margins.
Closed-Loop step response for the K_0=20 case.
Bode Plot For K_0=50 showing gain and phase margins.
Closed-Loop step response for the K_0=50 case.

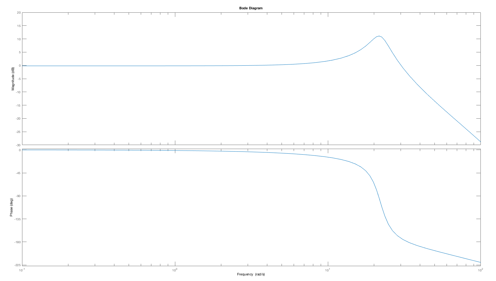
One might expect that an open-loop system with a small phase margin will likely result in a closed-loop system with an oscillatory step response, such as the particularly pronounced K_0 = 50 case. But phase- margin-based predictions are not quantitative. The oscillation amplitude of a closed-loop system, including its oscillation frequency, is far more readily predicted by considering the Bode plot pfor the closed-loop system with K_0=50 (see figure below). As the Bode plot for the closed loop system shows, the frequency response has a large peak, exactly at the frequency of the oscillating step response. Or, we could have considered the root-locus plot for this system, which would have indicated that at K_0=50, the poles of the closed-loop system move close to the imaginary axis (the second figure below). Finally, when K_0=5, the gain is too low to accurately track the input, and the steady state value for the step response (which should be one) is off by more than ten percent. The phase margin concept is of little for this low gain problem.

So, why bother with phase margin?

 Bode Plot of the CLOSED-LOOP response for the  K_0=50  case, showing
 the peaking of the response at  \approx 22  radians/second.
 The root-locus plot for  H(s) = \frac{1000}{(s+1)(s+10)(s+100)} ,
 showing a pair of poles moving towards the imaginary axis as the
 gain increases (the highest gain shown is  K_0 \approx 70 ).

Compensators Based on Increasing Phase Margin

We know that a small phase margin is bad, but as noted above, we have other tools that can provide a far more sophisticated analysis of the kinds of problems indicated by a low phase margin. On the other hand, if we do have low phase margin, there is an easy way to design a compensator to increase it.

The key insight to increasing phase margin is that the angle for a product of two transfers functions is the sum of the two angles. That is,

\angle \left( H_1(j\omega) H_2(j \omega) \right) = \angle \left( H_1(j\omega) \right) + \angle \left( H_2(j \omega) \right).

To see how to use this additive property, suppose K_0 H(s) has a small phase margin. For systems dominated by poles (as most physical systems are), the angle of the frequency response will be negative. Then since the phase margin is small, the angle at unity gain must be close to -\pi, or in degrees,

\angle(K_0 H(j \omega_{unity})) \approx -180.
If we can design a compensator whose angle is positive at \omega_{unity}, but has a magnitude of one, then we can use the compensator to increase the phase margin. And since the magnitude of the product of the transfer functions (which equals the product of the magnitudes) will be unchanged, we can guarantee that there will be NO change in the unity gain frequency.

But not so fast! We cannot exactly enforce the unit magnitude constraint, while still adding phase, but we can come close. And, we can come close with a transfer function that is easily implemented (in continuous time with a circuit, or approximately in discrete-time, as we shall see later).

Consider a normalized compensator transfer function:

H_c(s) = \frac{s_p}{s_z} \frac{s-s_z}{s-s_p}.
where s_p is the typically-negative pole location and s_z is the typically-negative zero location (yes, z is an unfortunate choice of subscript, we have NOT stepped back into discrete-time).

What is magnitude of the normalized compensator at zero frequency?

In terms of s_p and s_z, what is the magnitude of the compensator in the limit as \omega \rightarrow \infty? Use s_p to denote s_p and s_z to denote s_z,

H(j \infty)

Can we use this zero-over-pole compensator to add phase at the unity gain frequency? And can we come close to keeping the magnitude of the compensator near one, so we do not shift the unity gain frequency?

Consider the example of a compensator whose zero is s_z = -10, and whose pole is s_p = -100. With this pole and zero, the resulting compensator is of the form

H_c(s) = 10 \frac{s+10}{s+100} = \left( 0.1(s+10) \right) \left( \frac{100}{s+100} \right)

In the figure below, there are three plots. One is a plot of H_c(s), whose magnitude is level, and then monotonically increases, before leveling off a factor of ten higher. Its angle increases, but visually, it seems to start increasing at a lower frequency than its magnitude increases. Perhaps we can use this to approximate our ideal phase margin increaser.

Overall, the angle of the compensator rises from an angle of 0, achieves a maximum, and then returns to an angle of 0. We also show the separate components in the plot below. There is the angle and magnitude for just the numerator zero, which is flat until the zero frequency and then the angle and magnitude increase monotonically. There is also the angle and magnitude for the denominator pole, which is also flat until the pole frequency, and then starts monotonically decreasing in angle and magnitude.

NOTE: we refer to this compensator as a LEAD compensator because the zero leads the pole.

Suppose H_c(s) = \frac{s_p}{s_z} \left(\frac{s-s_z}{s-s_p} \right) , with real s_z, s_p < 0. In terms of s_p and s_z, what is the value of \omega_{extreme} , the frequency where the angle of H_c(j \omega ) achieves its extreme (either maximum or minimum)? Hint: recall that the angle of H_c is the angle of the zero minus the angle of the pole. So differentiate the difference with respect to \omega , and find where the derivative is zero. Use s_p to denote s_p and s_z to denote s_z.

\omega_{extreme}

Let us return to the worst example from above, H(s) = \frac{1000}{(s+1)(s+10)(s+100)} with K_0 = 50. The phase margin is quite low, roughly 15 degrees, and the step response oscillates. Suppose we place a normalized compensator with a zero at approximately the unity gain frequency ( s_z = -20 ) and a pole at a ten times higher frequency (s_p = -200)? What is the new phase margin (you will need a bode plotter, modify the python linked at the top). To check yourself, we have plotted the step response of the compensated system (which is QUITE an improvement).

Phase Margin: